
Die Primär-Sekundäranalyse stellt eine einfache Methode zur Beurteilung der Wirtschaftlichkeit eines Montagesystems dar. Dabei unterteilt man alle Handhabungs– und Fügeoperationen nach sogenannten Primär- und Sekundärvorgängen, wobei ein möglichst geringer Anteil an Sekundäraufwand eine hohe Wirtschaftlichkeit bedeutet. Die Methoden der Primär-Sekundäranalyse sind sowohl für bereits bestehende, als auch für in der Planung befindliche Montagesysteme geeignet und finden bei allen Arten von Montagesystemen Anwendung. Sie helfen bei der Analyse der Wirtschaftlichkeit einer gesamten Montagefabrik, einschließlich Teilebereitstellung, Transport, Lagerung, Prüfung und Verpackung.
Definitionen
Primärvorgänge (PV) sind alle Aufwendungen an Energie, Zeit, Informationen und Teilen zur Vervollständigung eines Werkstückes, die der Wertschöpfung während der Montage dienen. Beispiele sind Einlegen, Greifen oder Einschrauben von Teilen zur Vervollständigung eines Werkstückes.
Sekundärvorgänge (SV) sind alle auf Grund des gewählten Montageprinzips notwendigen Aufwendungen an Energie, Zeit und Informationen, ohne eine weitere Wertschöpfung des Werkstückes zu bewirken. Beispiele hierfür sind Wenden, Weitertransportieren, Neugreifen oder Ablegen von Teilen, ohne dass sich das Werkstück dem Endzustand nähert.
Als Messgröße dient grundsätzlich die Zeitdauer der Vorgänge.
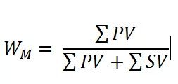
Der wirtschaftliche Wirkungsgrad WM ist die Summe der Zeitdauern aller Primärvorgänge im Verhältnis zur Summe der Zeitdauern aller Vorgänge:

Mit dem so berechneten Wirkungsgrad lassen sich Aussagen über die Effizienz eines Montageplatzes, einer Montagestation oder eines ganzen Montagesystems treffen. Dies gilt für alle Montagetechniken, angefangen bei der rein manuellen Montage bis hin zum Automatiksystem.
Eine Steigerung des Wirkungsgrades bedeutet in jedem Fall eine Reduzierung des Sekundäraufwandes.
Darstellung mit Hilfe von Aufwandsvektoren
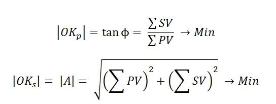
Eine anschauliche Deutung des Primär- und Sekundäraufwandes liefert die Darstellung als Aufwandsvektoren. Dazu trägt man die ermittelten Zeitdauern der Primär- und Sekundärvorgänge in ein Koordinatensystem ein. In der Abbildung sieht man als Beispiel das Diagramm von 4 aufeinander folgenden Einzelvorgängen. Aus den einzelnen Vektoren ergibt sich der Gesamtaufwandsvektor |A|.
Da eine Verringerung des Sekundäraufwandes eine größere Wirtschaftlichkeit bedeutet, gilt dies als primäres Optimierungskriterium |OKp| und ist gleich einer Minimierung des Anstiegswinkels ϕ des Aufwandsvektors |A| zu setzen. Ein sekundäres Optimierungskriterium |OKS| ist die Verringerung der Gesamtmontagezeit, bzw. eine Minimierung des Betrages des Aufwandsvektors |A|.
Somit gilt:

Die Unterscheidung zwischen Primär – und Sekundäraufwand ist abhängig vom Montageobjekt, sowie der Art der Montage. Kleingeräte und Großgeräte sind differenziert zu betrachten, außerdem ist die Analyse für manuelle, halb- und vollautomatische Montageanlagen und Roboterzellen unterschiedlich auszuführen. Zusätzlich gibt es drei Genauigkeitsstufen der Primär-Sekundäranalyse: Grundanalyse, Feinanalyse und erweiterte Analyse.

Feststellung der Wirtschaftlichkeit
Grundanalyse
Zur Feststellung der Wirtschaftlichkeit des eigentlichen Montageablaufes dient die Grundanalyse. Sie beginnt mit der Bereitstellung des Materials an den Montageplatz und endet vor dem Prüfen und Verpacken des Produktes. Zwischenprüfungen, die in den Montageablauf integriert sind, werden mit erfasst.
Beispiel: manuelle Fließmontage von Kleingeräten
Ein gedachtes Produkt bestehend aus 5 Einzelteilen wird an zwei manuellen Arbeitsplätzen AP1, AP2 montiert. Am ersten Platz wird dabei das Grundteil T1 von einem Werker gegriffen, in eine Fügeposition gebracht und anschließend mit den Teilen T2 und T3 verbunden. Dabei sind sowohl das Greifen, als auch das Fügen der Teile T2 und T3 jeweils ein Primärvorgang, insgesamt entstehen folglich 3 Primärvorgänge an AP1. Nachdem der erste Werker seine Tätigkeiten abgeschlossen hat, wird das Zwischenprodukt von ihm auf dem Zwischenpuffer ZP1 abgelegt, was einen Sekundäraufwand darstellt. Das anschließende Greifen und Bringen der vormontierten Baugruppen in die zweite Fügevorrichtung durch den zweiten Werker stellt ebenso einen Sekundärvorgang dar. Das Fügen der weiteren Teile am zweiten Arbeitsplatz ist wieder je ein Primärvorgang und das Ablegen des fertigen Produktes einen Sekundärvorgang.
Insgesamt entstehen bei gedachtem Beispiel also 5 Primärvorgänge und 3 Sekundärvorgänge, von denen jeweils die einzelnen Zeiten ermittelt werden, um die Wirtschaftlichkeit zu bestimmen. Nimmt man für die Fügevorgänge jeweils 10 Sekunden und für das Greifen, bzw. Ablegen jeweils 5 Sekunden an, kommt man bei genanntem Beispiel auf einen Wirkungsgrad von:

Anhand dieses einfachen Beispiels erkennt man leicht, dass sich Sekundäraufwände deutlich erhöhen können, wenn die Montagestrecke mehrere Stationen enthält, speziell wenn dabei Engpassstationen entstehen an deren Takt sich die anderen Stationen anpassen müssen.
Feinanalyse
Um eine feinere Analyse durchzuführen, ist eine genauere Unterscheidung zwischen Primär- und Sekundärvorgängen notwendig. Sollwerte für eine Unterscheidung werden üblicherweise nach dem MTM-Verfahren ermittelt. MTM bedeutet Methods-Time Measurement, im Deutschen wird es auch als Arbeitsablauf-Zeitanalyse (AAZ) bezeichnet. Dabei werden alle Bewegungsabläufe in Grundbewegungen unterteilt, denen Normzeiten zugeordnet sind.
Im sehr häufig verwendeten MTM-AUS (Universelles Analysier System) unterscheidet man die 5 Grundbewegungen Hinlangen, Greifen, Bringen, Fügen und Loslassen. Streng genommen stellt dabei lediglich das Fügen einen Primärvorgang dar. Da ohne die anderen Grundbewegungen kein Fügevorgang möglich ist zählt man Aufwände innerhalb der Normzeiten als Mindestaufwand und Primärvorgang. Zeiten, die den Mindestaufwand übersteigen zählt man zu den Sekundärvorgängen.
Beim Bringen und Hinlangen wählt man dabei die Entfernung des am leichten zu erreichenden Teiles als Grenzwert. Seien an Arbeitsplatz 1 in obigem Beispiel Teil 1 30 cm und die übrigen Teile 40 cm von der Fügevorrichtung entfernt, so zählen bei Teil 2 und 3 jeweils 10 cm des zum Hinlangen und Bringen benötigten Weges zum Sekundäraufwand.
Greifbewegungen zählen als Primärvorgang, wenn der Werker das Teil ohne zusätzlichen Aufwand mit der Hand aufnehmen kann, alles darüber hinaus ist Sekundäraufwand. Loslassen ist auf Grund des sehr geringen Zeitaufwandes grundsätzlich ein Primärvorgang.
Erweiterte Analyse
Um eine gesamte Montage in ihrer Wirtschaftlichkeit beurteilen zu können ist eine Grundanalyse des Montagebereiches und eine Feinanalyse der Einzelarbeitsplätze notwendig. Währen der erweiterten Analyse kann weiterer Sekundäraufwand, beispielsweise durch Vorarbeiter oder zusätzliche Verpackung, die nicht zur Wertschöpfung beiträgt entstehen.
Mit den Primär - und Sekundäraufwänden der Grund- und Feinanalysen PVG, PVF und SVG, SVF, sowie dem Sekundäraufwand der erweiterten Analyse SVE berechnet sich der Gesamtwirkungsgrad wie folgt:

Bei Fragen oder anderen Anliegen, können Sie gern Kontakt zu uns aufnehmen!